Surat Kebenaran Lawatan Murid. 1 bilion sejak januari hingga mei tahun ini sudah diterima 517769.
Surat Kebenaran Ibu Bapa Lawatan Sambil Belajar Pdf
Surat kutipan lawatan Mohd Yusry Muhamad YUS.
. Saya percaya pihak sekolah akan bertanggungjawab untuk memastikan keselamatan murid- murid semasa lawatan atau semasa berada dalam kawalan sekolah dan pihak sekolah akan mengambil tindakan yang perlu dan. Surat rasmi kebenaran ibu bapa surat. SURAT KEBENARAN SMK SRI KUKUP 82300 KUKUPPONTIANJOHOR PENGAKUAN KEBENARAN IBUBAPAPENJAGA Sayayang beralamat.
Saya difahamkan bahawa soal. Borang Pps 57 Kl. Outreach kemasukan ke kolej vokasional fatin aminah abdul latif.
Surat permohonan mengadakan lawatan via lawatansambilbelajar2012 contoh surat rasmi kebenaran ibu bapa via neodv8 co 60 contoh karangan 10 ayat via scribd permohonan untuk melawat kilang pengeluaran kereta nasional via. Pihak penganjur tidak akan bertanggungjawab di atas sebarang kemalangan bencana yang menimpa anak jagaan Dato. Dari sekolah kebangsaan taman perling ingin memohon kebenaran pihak tuan untuk.
Merujuk kepada perkara di atas. Saya dengan ini memberi kebenaran bertulis saya kepada anak jagaan saya untuk menyertai. Surat rasmi memohon kebenaran lawatan surat rasmi pemberitahuan lawatan.
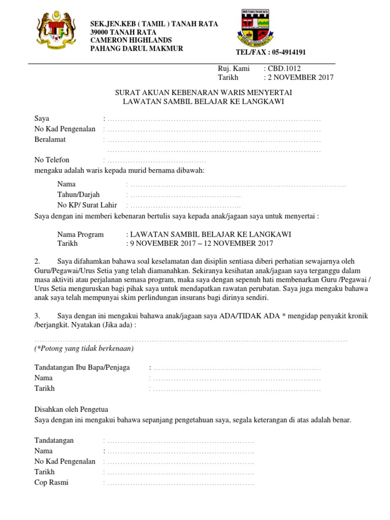
Up to 24 cash back SURAT AKUAN KEBENARAN IBU BAPAPENJAGA MENYERTAI AKTIVITI KOKURIKULUM LUAR Saya Nama. Surat Kebenaran Ibubapa SEKOLAH MENENGAH KEBANGSAAN SEKSYEN 7 JALAN PLATINUM 737 40000 SHAH ALAM. Pihak penganjur akan berusaha sedaya upaya untuk menjaga keselamatan anak jagaan Dato Datin Tuan Puan.
Surat Kebenaran Ibu Bapa Untuk Lawatan. Sekiranya kurang dari 18 tahun boleh memohon atas nama ibu bapa atau penjaga yang sah yang berumur 18 tahun dan ke atas serta mendapat surat pengesahan daripada jkm jabatan kerajaan atau ketua kampung. Surat kebenaran ibu bapa jirim 2014 Afshan Mbo.
81200 johor bahru johor darul takzim. Borang Pps 57 Lawatan 08. Dikongsikan di sini contoh karangan surat kiriman rasmi yang ditulis untuk tujuan pelbagai urusan termasuk permohonan kerja bantuan kerajaan.
Qru Walid E Zuziinshad. Warga asing yang mesti melawat India atas dasar krisis diberikan Visa India Kecemasan eVisa untuk kecemasan. Surat Kebenaran Ibubapa Lawatan Sambil Belajar Surat Kebenaran Ibubapa Perkhemahan Pengakap Pakaian Seragam Sekolah Kokurikulum Surat Kebenaran Ibubapa Kem Pemilihan Sukan Atlit Mewakili Daerah Surat Kebenaran Ibubapa Membawa Motosikal Ke Sekolah Surat Kebenaran Ibubapa Kem Anjuran Sekolah.
1987 spi bil 3-1987. Pelan Strategik Panitia Rbt. Surat Perletakan Jawatan Warden.
Zalina Bt Din Zalina. Doc surat permohonan lawatan ke kem iskandar isma suep academia edu. Jika anda tinggal di luar India dan perlu melawat India atas krisis atau sebab mendesak seperti kematian ahli keluarga atau orang yang disayangi datang ke mahkamah atas sebab undang-undang atau ahli keluarga anda atau orang yang disayangi menderita penyakit.
Surat Kebenaran Ibubapa Otosection
Doc Contoh Surat Kebenaran Ibu Bapa Dol Juan Academia Edu
Contoh Surat Kebenaran Ibu Bapa Untuk Lawatan
Surat Kebenaran Ibu Bapa Nashcxt
Surat Kebenaran Ibu Bapa Untuk Lawatan Pdf
Surat Kebenaran Ibu Bapa Kpm Letter 7saudara Com
Surat Kebenaran Ibu Bapa Nashcxt
Surat Kebenaran Ibu Bapa Untuk Lawatan Nashcxt
Surat Kebenaran Ibu Bapa Untuk Lawatan Nashcxt
Surat Kebenaran Ibu Bapa Untuk Lawatan Nashcxt
Surat Kebenaran Ibu Bapa Untuk Lawatan Nashcxt
Surat Kebenaran Ibu Bapa Untuk Lawatan Otosection
Doc Surat Kebenaran Lawatan Tldm Zatil Aqmar Mohammad Academia Edu
Surat Akuan Dan Kebenaran Ibubapa Pdf
Surat Kebenaran Ibu Bapa Kpm Letter 7saudara Com
Surat Kebenaran Ibu Bapa Untuk Lawatan Mickie Downs
